Прогрессирующая возрастная потеря мышечной силы сопряжена с ухудшением функционального статуса, повышенным риском падений и увеличением смертности. При этом традиционный акцент в клинической практике на аэробной физической активности нередко отодвигает оценку мышечной силы на второй план, хотя последняя является самостоятельным и независимым предиктором выживаемости.
На нормативном уровне необходимость силовых тренировок закреплена в Physical Activity Guidelines for Americans (2018, 2-е изд.) [1] — рекомендациях Министерства здравоохранения и социальных служб США, которые предписывают выполнять упражнения с вовлечением всех крупных мышечных групп не менее двух раз в неделю. Научное заявление Американской кардиологической ассоциации (Paluch и соавт., Circulation, 2024) подтверждает эту рекомендацию и подчёркивает её применимость для пожилых пациентов, в том числе с сердечно-сосудистыми заболеваниями [2]. Вместе с тем реальная интеграция оценки мышечной силы в амбулаторную практику остаётся недостаточной, что делает разбор актуальных доказательств клинически необходимым.
Ключевое исследование: LaMonte и соавт. (2026) — OPACH Study
Дизайн и когорта
Наиболее крупным и методологически строгим источником современных доказательств по данной теме является проспективное когортное исследование LaMonte и соавт., опубликованное в феврале 2026 года в JAMA Network Open в рамках OPACH Study (Objective Physical Activity and Cardiovascular Health) [3]. В исследование были включены 5472 «амбулаторные» женщины в возрасте 63–99 лет (средний возраст 78,7 года). Этническая структура когорты: 33,8% — африканского происхождения, 16,7% — испаноязычные, 49,5% — европейского происхождения. Медиана наблюдения — 8,4 года, зарегистрировано 1964 смерти.
Методология оценки экспозиции
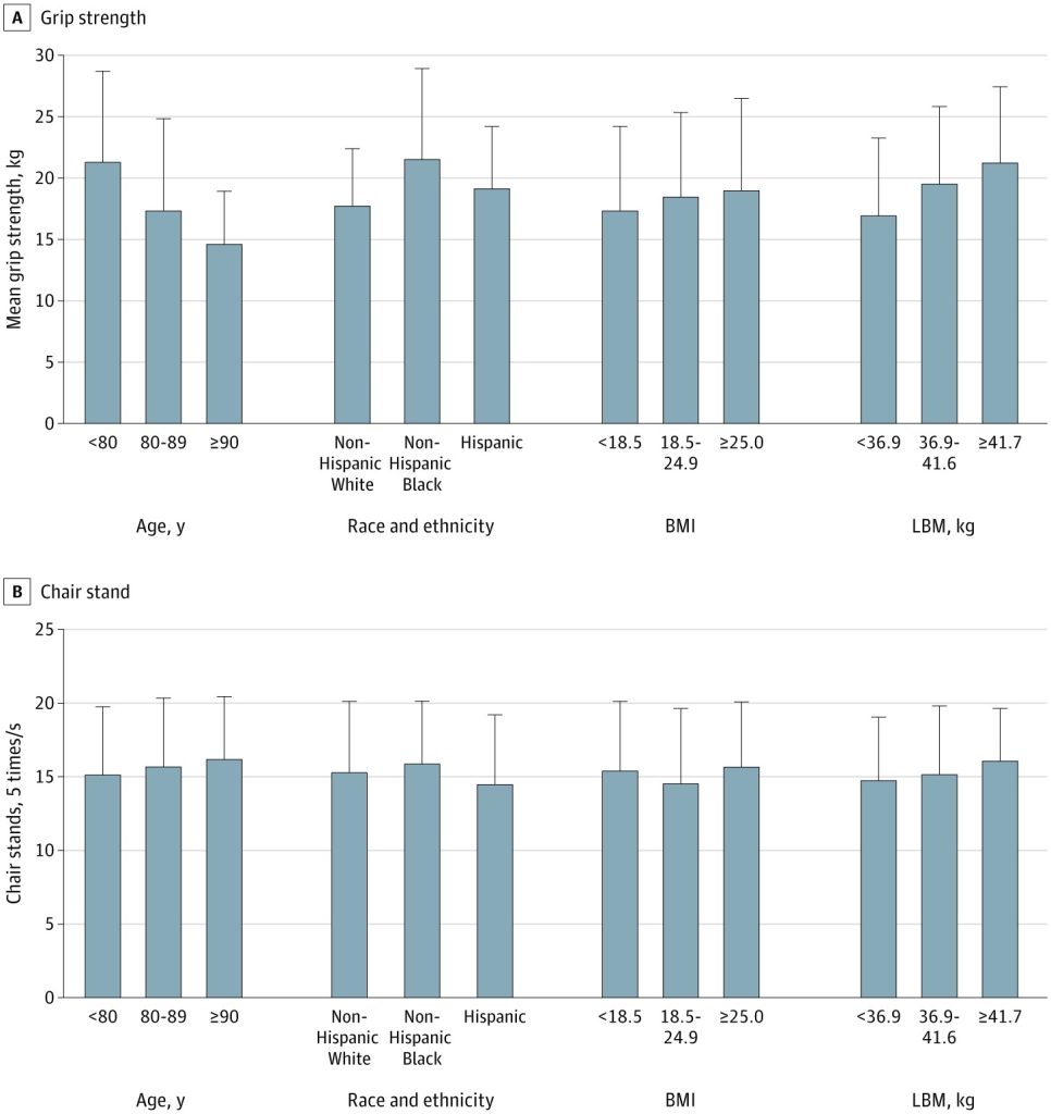
Сила хвата кисти измерялась ручным динамометром Jamar: положение сидя, локоть согнут под 90°, предплечье параллельно полу, 2 попытки с паузой 60 с, фиксировался лучший результат. Квартили: Q1 — <14 кг, Q2 — 14–19 кг, Q3 — 20–24 кг, Q4 — >24 кг; медиана в когорте — 19,3 кг. Тест вставания со стула (5 повторений, 5-CST) проводился без помощи рук; квартили по времени: Q1 — ≤11,1 с, Q4 — ≥16,7 с; медиана — 15,4 с.
Принципиальным методологическим преимуществом исследования является объективная оценка физической активности посредством использования акселерометра ActiGraph GT3X+ (7-дневная носка), что исключило систематическую ошибку самоотчётов, характерную для большинства предшествующих исследований.
Ключевые результаты
Анализ проводился в четырёх последовательно усложняющихся регрессионных моделях:
- модель 1 — возраст и раса;
- модель 2 — плюс социодемографические характеристики, образ жизни и коморбидность;
- модель 3 — плюс объективно измеренные физическую активность от умеренной до высокой интенсивности (Moderate-to-Vigorous Physical Activity, MVPA) и время, проведенное в положении сидя;
- модель 4 — плюс скорость ходьбы как индикатор кардиореспираторной подготовленности.
По данным модели 2 сила хвата в Q4 по сравнению с Q1 ассоциировалась с HR 0,67 (95% ДИ 0,58–0,78), P trend <0,001 [3]. Прирост на 1 стандартное отклонение (7 кг) соответствовал HR 0,88 (95% ДИ 0,84–0,93). Для теста вставания: Q4 по сравнению с Q1 — HR 0,63 (95% ДИ 0,54–0,73), P trend <0,001. Добавление в модель объективных показателей физической активности (модель 3) незначительно ослабляло ассоциации: для силы хвата HR Q4 по сравнению с Q1 составил 0,70 (95% ДИ 0,61–0,82), для теста вставания — 0,69 (95% ДИ 0,59–0,79). Учёт скорости ходьбы (модель 4) также не отменял значимости: HR 0,65 (95% ДИ 0,56–0,76) и HR 0,66 (95% ДИ 0,57–0,78) соответственно. Поправка на C-реактивный белок как биомаркёр системного воспаления не изменяла выводов.

Отношение рисков (HR) и доверительные интервалы (ДИ) для смертности от всех причин в соответствии с уровнями мышечной силы (N=5472)

Ассоциация силы кистевого захвата и времени вставания со смертностью от всех причин в соответствии с подгруппами когорты
Ассоциация оставалась устойчивой во всех подгруппах: по возрасту (<80 и ≥80 лет), расовой/этнической принадлежности, ИМТ, уровню MVPA и времени, проведенному в положении сидя. Взаимодействия ни по одному фактору не достигали значимости (все P interaction >0,05, кроме взаимодействия теста вставания со временем, проведенным в положении сидя). Анализы чувствительности — с исключением смертей в первые 3 и 5 лет, а также с заменой временно́й шкалы на возраст — подтвердили устойчивость результатов.
Клинически значим следующий вывод: среди женщин, не выполнявших рекомендации по аэробной активности (<150 мин/нед MVPA), более высокая сила хвата по-прежнему была ассоциирована с достоверно меньшей смертностью: на 1 SD — HR 0,90 (95% ДИ 0,82–0,98). Авторы расценивают это как «важнейшее доказательство» в пользу включения оценки мышечной силы в публичные сообщения о физической активности для пожилых. Важен и методологический вывод: корреляция между силой хвата и результатом 5-CST низкая (r = −0,13), что указывает на относительную независимость оцениваемых явлений.
Ограничения
Обсервационный дизайн не позволяет устанавливать причинно-следственные связи. Когорта включает только амбулаторных женщин, что ограничивает экстраполяцию на пациентов с выраженными двигательными нарушениями. Отсутствие визуализации (КТ, ДРА) не позволяет разграничить вклад мышечной массы и качества мышц.
Клиническая оценка мышечной силы

Средняя сила кистевого захвата и время вставания со стула в зависимости от возраста, расы и этнической принадлежности, ИМТ и сухой массы тела
Динамометрия кисти
Динамометрия кисти является наиболее валидизированным и воспроизводимым методом оценки мышечной силы в клинической практике [10]. Стандартный протокол: пациентка сидит на стуле без подлокотников, плечо приведено, локтевой сустав согнут под 90°, предплечье параллельно полу, запястье в нейтральном или слегка разогнутом положении. Используется гидравлический динамометр Jamar или его аналог; выполняются 2 попытки максимального изометрического усилия с паузой 60 с; фиксируется лучший результат. ICC >0,90.
Интерпретация: Европейская рабочая группа по изучению саркопении у пожилых людей (European Working Group on Sarcopenia in Older People, EWGSOP2 (2019)) устанавливает порог вероятной саркопении у женщин <16 кг [11]; на основании данных исследования NAKO предложен более высокий порог <18 кг [12]. В когорте OPACH нижний квартиль (<14 кг) демонстрировал наиболее высокий риск. Клинически значимо: все три значения (<14, <16, <18 кг) сигнализируют о повышенном риске смертности, что означает актуальность внимания к силе хвата ещё до достижения официального диагностического порога саркопении.
Тест вставания со стула (5-CST)
Методика: пациентка сидит на стуле высотой ~43 см, спина у спинки, руки скрещены на груди; по команде 5 раз максимально быстро встаёт и садится без помощи рук; регистрируется время в секундах. Согласно EWGSOP2, время >15 с соответствует сниженной физической функции по шкале SPPB (Short Physical Performance Battery). В когорте OPACH Q4 (наихудший квартиль) — ≥16,7 с.
Совместное применение обоих тестов
Оба теста целесообразно применять при рутинном скрининге пожилых женщин, исходной оценке перед реабилитацией и мониторинге динамики. Их низкая взаимная корреляция (r = −0,13) указывает на то, что они отражают разные функциональные домены: мышечную силу плечевого пояса и функциональную активность нижних конечностей соответственно. Использование обоих тестов обеспечивает более полную оценку риска пациента.
Контекст мировых данных: мета-анализы и сопряжённые исследования
Мета-анализ Momma и соавт. (BJSM, 2022), включивший 16 когортных исследований (>263 тыс. участников, >42 тыс. случаев смерти), показал: силовые тренировки ассоциированы со снижением риска общей смертности на 15% (RR 0,85; 95% ДИ 0,79–0,92), ССЗ — на 17%, сахарного диабета — на 17% [4]. Максимальное снижение риска (около 10–20%) наблюдалось при объёме нагрузки 30–60 мин/нед (J-образная зависимость).
García-Hermoso и соавт. (Arch Phys Med Rehabil, 2018) в мета-анализе 38 исследований (>1,9 млн. участников) установили: высокая сила хвата ассоциирована со снижением общей смертности на 31% (HR 0,69; 95% ДИ 0,64–0,74) [5]. Ассоциация у женщин оказалась более выраженной (HR 0,60; 95% ДИ 0,51–0,70), чем у мужчин (HR 0,69; 95% ДИ 0,62–0,76).
Эти данные согласуются с результатами Yates и соавт. (Eur Heart J, 2017), в которых скорость ходьбы и сила хвата продемонстрировали независимую ассоциацию со смертностью у 420 727 участников UK Biobank [16].
Исследование Celis-Morales и соавт. (BMJ, 2018) на материале UK Biobank (502 293 участника, 54% женщин) подтвердило обратную ассоциацию силы хвата со смертностью от всех причин, ССЗ, рака и респираторных заболеваний: снижение силы хвата на каждые 5 кг соответствовало HR 1,20 (95% ДИ 1,17–1,23) для общей смертности у женщин [6].
Концептуально значимо исследование Newman и соавт. (Health ABC Study, 2006): в когорте из 2292 участников 70–79 лет именно сила, а не мышечная масса была предиктором смертности — поправка на размер мышц по КТ и ДРА (двухэнергетическая рентгеновская абсорбциометрия) лишь незначительно ослабляла ассоциацию силы хвата со смертью [7]. Это смещает клинический акцент с количества на качество мышечной ткани.
Специфически у пожилых женщин с инвалидностью Rantanen и соавт. (J Am Geriatr Soc, 2003) показали, что низкая сила хвата ассоциирована с повышенной общей и причинно-специфической смертностью независимо от характера питания и непреднамеренной потери массы тела [17].
Для нижних конечностей показательно исследование Núñez-Cortés и соавт. (Braz J Phys Ther, 2025): в когорте SHARE (43 605 участников, 54% женщин, наблюдение 7,3 года, 4154 смерти) 5-CST и сила хвата оба демонстрировали криволинейную обратную ассоциацию с общей смертностью [8]. В стратифицированном анализе тест вставания оказался более чувствительным предиктором именно у женщин: при 90-м перцентиле (19 с) HR составил 1,24 (95% ДИ 1,17–1,32), тогда как у мужчин кривая выходила на плато после 17 с.
Данные о самых пожилых пациентах представлены в исследовании на материале SHARE (Eur Geriatr Med, 2024, PMID 39439054): 1890 человек ≥90 лет (61,6% женщин), средний возраст 91,0 ± 1,5 года, медиана наблюдения 4,2 года [9]. За период наблюдения умерли 51,4% участников, однако ассоциация силы хвата со смертностью носила градуальный непрерывный характер без порогового эффекта. У женщин 90-го перцентиля (23 кг) HR составил 0,75 (95% ДИ 0,62–0,90), 10-го перцентиля (10 кг) — 1,27 (95% ДИ 1,13–1,43). Авторы делают вывод об актуальности силовых вмешательств даже у долгожителей.
Рекомендации по силовым тренировкам для пожилых женщин
Доказательная база для силовых тренировок у пожилых женщин закреплена в нескольких ключевых документах. ВОЗ (2020) рекомендует ≥2 дней/нед силовых упражнений умеренной или большей интенсивности с вовлечением всех крупных мышечных групп [13]. AHA Scientific Statement (Paluch и соавт., Circulation, 2024) подтверждает эту рекомендацию и специально подчёркивает безопасность и обоснованность таких нагрузок для пожилых, в том числе с ССЗ [2].
Первое за 17 лет обновление Позиционного документа ACSM (Medicine & Science in Sports & Exercise, 2026), основанное на 137 систематических обзорах с участием >30 000 человек, внесло важные практические уточнения [14]:
- Минимальная частота: ≥2 сессии/нед с вовлечением всех крупных мышечных групп, ≥2 подхода на упражнение.
- Для развития максимальной силы: нагрузка ≥80% 1ПМ, 2–3 подхода.
- Для гипертрофии: ≥10 подходов на мышечную группу/нед в диапазоне 30–100% 1ПМ при достаточном волевом усилии.
- Тренировка до мышечного отказа не обязательна: запас 2–3 повторения обеспечивает сопоставимые адаптации при меньшем риске нежелательных явлений.
- Форма сопротивления не принципиальна: свободные веса, тренажёры, эластичные ленты, вес собственного тела дают сопоставимые результаты.
- Центральный тезис документа: регулярное участие в силовых тренировках важнее совершенства программы.
Оптимальная «доза» по данным Momma и соавт. (2022) — 30–60 мин/нед, что соответствует максимальному снижению риска смертности на 10–20% [4]. Систематический обзор и мета-анализ Shailendra и соавт. (Am J Prev Med, 2022) подтвердили: любое участие в силовых программах ассоциировано со снижением риска общей смертности на 15%, а максимальное снижение (27%) наблюдалось при объёме ~60 мин/нед [15]. Это означает, что два коротких занятия в неделю по 15–20 минут могут дать клинически значимый эффект. Даже минимальная программа (1 подход на крупные группы, 2 раза/нед) приносит достоверную пользу.
Мы рекомендуем
Особого внимания заслуживает тренировка мышечной мощности (power training): выполнение движений в быстром темпе (быстрое вставание со стула, подъём по ступенькам, ускоренные функциональные движения) формирует скоростно-силовые качества, которые по данным ACSM (2026) являются более сильным предиктором функциональных ограничений, риска падений и смертности у пожилых, чем статическая сила [14].
Тренировка мощности при нагрузке 30–70% 1ПМ в быстром темпе достоверно улучшает скорость ходьбы, равновесие и функциональную независимость. В когортном исследовании Kamada и соавт. (J Am Heart Assoc, 2017) среди 28 879 пожилых женщин регулярные силовые тренировки были ассоциированы с 30% снижением смертности от сердечно-сосудистых заболеваний [18].
При ограниченном доступе к оборудованию пациенткам могут быть рекомендованы домашние упражнения с собственным весом, эластичными лентами или подручными предметами. Перед началом силовых тренировок пожилые пациентки должны пройти медицинский осмотр; при отсутствии опыта — получить консультацию физического терапевта или специалиста по двигательной активности.
Заключение
Мышечная сила является независимым предиктором смертности у пожилых женщин: ассоциация сохраняется после поправки на объективно измеренную физическую активность, кардиореспираторную подготовленность и системное воспаление [3]. Хроническое воспаление ускоряет утрату мышечной функции и повышает смертность [20], однако связь силы хвата с выживаемостью лишь незначительно ослабевает при контроле за C-реактивным белком, что указывает на существование механизмов, выходящих за рамки воспалительного каскада. Это означает, что мышечная сила несёт самостоятельную прогностическую функцию, а не является показателем общего уровня активности.
Динамометрия кисти и тест вставания со стула могут и должны применяться рутинно в клинической практике. Их низкая взаимная корреляция обосновывает использование обоих тестов для формирования полного функционального профиля пациентки. Порог <16 кг для силы хвата (EWGSOP2) и время >15 с для 5-CST [19] служат практически удобными маркёрами повышенного риска.
Принципиально важен вывод о пациентках с ограниченными аэробными возможностями: даже женщины, не выполняющие рекомендации по аэробной нагрузке (<150 мин/нед MVPA), имеют достоверно меньшую смертность при наличии высокой мышечной силы [3]. Это переопределяет терапевтические приоритеты в гериатрической реабилитации и обосновывает включение силовых тренировок в программу даже при неспособности пациентки выполнять аэробные нагрузки.
Стандартом клинической практики должна стать рекомендация силовых тренировок ≥2 раз/нед как «минимально эффективной дозы». Любая форма, любой объём лучше, чем его отсутствие. Будущие рандомизированные исследования должны определить оптимальный тип и объём силовых вмешательств для специфических исходов — падений, функциональной независимости, смертности — в разных возрастных и клинических подгруппах пожилых женщин.